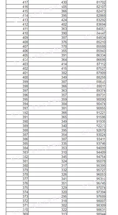
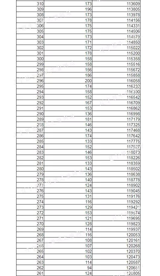
遼寧高考成績排名表顯示了每個分數在全省有多少考生,方便您計算自己的排名。 本表將遼寧省考生同一科目的檔案成績(高考各科成績+折扣加分)從高到低排列(如果成績相同則并列),然后統計每個 1 分部分的“本部分人數”; 從本段到最高段的所有“本段人數”之和即為“累計人數”。 遼寧一分一科表顯示的是每個分數全省有多少考生。 這個數據具有最大的參考價值。
一、2020年遼寧省高考成績排名表及排名查詢方法
2020年遼寧省高考成績排行榜將在遼寧省高考成績發布時公布。 考生在查看成績時會得到相應的排名。 填寫申請時,應首先參考其在本省的成績。 排名,然后看你要報考的學校的招生計劃。 最好算一下遼寧同梯度院校的招生計劃總數,結合自己的排名,更好地選擇申請。 請考生關注這篇文章,我們會盡快更新。
二、如何理解遼寧高考一點一段表
1、在“一分一節表”中找到正確的位置
填寫申請表最關鍵的第一步就是在“一點一科表”中找到你的分數對應的分數排名以及具有此排名的考生人數,從而確定你的個人分數在該省。
找到自己的位置,這比單純看分數更準確。 因此,考生不能僅根據成績填寫申請表,而應充分利用“一點一節表”,以成績排名作為填寫申請表的參考。
無論高考批次線與去年相比是否有較大波動,考生都不應僅根據成績填寫申請,而應充分利用“一點一科形式”,以成績排名為準作為填寫申請表的參考。

2.看近三年招生情況
對比近三年的“一分一帶”表格,看看你要申請的大學連續三、四年都在學校線的哪個帶(即比你申請的批次高了多少分)都在)。 如果你的分數比如果你的排名高至少兩年,你就會更有信心申請那所學校。
考生在比較往年院校錄取分數時,主要是比較學生數量。 如果該職位高于往年省內學校的錄取分數線,則說明申請有希望。
3、多渠道了解其他候選人的申請意向
盡量多利用高校招生老師或專業導師來了解其他考生的申請意向。
因為看“一分一科表”,有的分數段只有幾十個候選遼寧一本分數線,有的則有幾百個。 對于成績在強化范圍內的學生,“一點一科表”的參考價值會降低。 考生在填寫申請表時,應盡量通過高校招生辦公室、老師、同學了解其他考生的申請意向,慎重選擇以往較為熱門、招生計劃較少的院校。今年該省避免因志愿者“集群”而退學。 的風險.
![]()
排名在前200名以內,處于絕對高位的考生,只要不是申請頂尖名校,一般情況下,申請一批院校應該沒有什么大問題。全國各地的大學。 低于此分數線的考生在填寫第一批本科院校申請時需謹慎,謹防擁擠。
4. 使用“一件表”分析志愿服務梯度
由于大學錄取是按照從高分到低分的順序進行分級的,因此考生對自己的定位非常關鍵。 1分1段表就是將排名具體定位。 考生可以根據自己的分數對比一分制表,然后參考各高校今年每批次的招生計劃數來確定如何填寫自己的申請表。
候選人應該看看該批次招聘了多少人以及他們處于哪個級別。 如果其他考生過于集中在某個分數區間,那么在填寫申請表時,要注意保持各個院校、專業的申請表梯度。 各院校必須根據招生計劃和生源以及不同分數線的專業等級劃定不同的分數線。 填寫申請表時應考慮這些因素。
在使用“一分一科表”的基礎上,考生還需要看高考成績與當年第一線成績的差異。 假設去年超過一等成績30分的考生可以進入某所學校,然后看看今年他的成績超過一等分數多少分。 如果分數超過30分,申請這所學校的錄取機會就會更大。
如果存在分數范圍相同的考生集群,則在填寫報告時需要更加小心。 例如,在查看去年的錄取分數時,假設去年考生的分數必須超過錄取分數30分才能進入某所學校,但去年該部分沒有聚類。 現象,所以今年我們要超過40分才更有信心。 這只是一個假設和比喻。 具體來說,我們需要計算聚集的人數和招生計劃的數量。
![]()
5. 大年和小年
在大學招生中,存在所謂的“大小年”現象遼寧一本分數線,通俗理解是指某所學校或某幾所學校的報考人數不穩定,存在水平波動較大的現象的錄取分數線。 “熱”可能會變成“冷”,“冷”可能會變成“熱”。 考生需要結合往年錄取信息,根據學校的地理位置、校名變更、學校升級、招生計劃變化等各種情況做出綜合判斷。 等待評估情況并確定您自己的應用程序行為。
3、遼寧省高考一分一科排名表數據查詢






4、遼寧高考一點一節相關文章
2020年遼寧一分一節積分表,遼寧一分一節積分表在哪里查看
2020年遼寧省高考分數線明細表、遼寧省高考排名查詢表
2020年遼寧省高考一分一科排行榜成績及排名什么時候公布?

遼寧高考一點一分表 2020年遼寧高考個人成績排名查詢
遼寧省高考一分一節
遼寧省普通高考成績統計表(理工科)
遼寧省普通高考成績按一分一科統計表(文史類)
2020年遼寧省高考(理科)成績公布及考生個人排名成績查詢
2020年遼寧省高考(文科)成績公布暨考生個人排名結果查詢
2020年遼寧省高考成績排名查詢
名師輔導
環球網校
建工網校
會計網校
新東方
醫學教育
中小學學歷