1.《甘肅省2024年普通高等教育招生考試招生實施方案》制定的背景是什么?
按照《國務院關于深化考試招生制度改革的實施意見》(國發[2014]35號)和《甘肅省深化普通高校招生綜合改革實施方案》(甘政發[2021]66號)及教育部有關規定,甘肅省對2021年秋季入學高一學生,實行以統一高考和高中學業水平考試成績為基礎、參考綜合素質評價的普通高校招生考試錄取模式;2024年起,普通高等學校按新的考試錄取模式招生。 針對高考綜合改革在考試組織、志愿者報名、錄取等方面的變化,為確保甘肅省2024年高考綜合改革順利實施,制定了《甘肅省2024年普通高等學校招生考試錄取實施方案》。
2.2024年甘肅省高考招生工作與往年相比有哪些不同?
首先,考試科目不同。改革前,甘肅省普通高校招生考試(以下簡稱“高考”)只有文理科兩個門類,除了文理科考生都必須學習的語文、數學、外語三門課程外,文科考生只能學習歷史、政治、地理,理科考生只能學習物理、化學、生物。高考實行文理分科,考試科目包括語文、數學、外語、文科綜合/理科綜合。改革后,高考按照“3+1+2”模式組織考試招生,考生在學習語文、數學、外語三門統一的高考科目基礎上,可以從物理、歷史兩門優先科目中選一門,還可以從思政、地理、化學、生物四門剩余課程中再選兩門。 這樣,考生可以根據個人愛好、興趣、特長、報考學校要求和高中教育條件等,選擇12個組合進行學習,擴大了考生的選擇范圍,增強了考生的學習動力,進一步完善了高中因材施教的硬件和軟件建設,進一步提升了人才培養的基礎教育能力。高考采用“3+1+2”模式,考試科目包括語文、數學、外語三門高考統一科目,物理、歷史兩門科目中選一門優選科目,思政、地理、化學、生物四門科目中選兩門選修科目。
二是分數構成不同。改革前,考生總成績由語文、數學(文/理科)、外語、綜合(文/理科)四門科目成績組成,滿分為750分。改革后,考生總成績由三門高考統一科目和三門選考科目成績組成,滿分為750分。其中,語文、數學、外語三門高考統一科目原成績計入考生總成績,每門滿分為150分;選考第一志愿科目(物理、歷史2選1)原成績計入考生總成績,每門滿分為100分;選考第二志愿科目(思政、地理、化學、生物4選2)成績經成績評定后折算為考生總成績,每門滿分為100分。 此外,改革前,外語聽力測試安排在高考之前,成績不計入考生總成績,而是作為招生院校錄取的參考;改革后,外語聽力測試安排在高考外語筆試之前,外語聽力成績計入考生總成績。
三是目標導向不同。與文理兩科組合相比,“3+1+2”模式既增加了學生的選擇權,又促進了文理融合,充分體現了以人為本、學其所好、考其所長,更加符合教育發展和人才成長規律,為學生成長成才提供了更多的機會。既體現了物理、歷史等學科的基礎性作用,凸顯了高校不同學科、專業對選拔人才的要求,也更加注重學生的全面發展,提高學生的綜合素質。
四是志愿設置不同。改革前,高考志愿以“高校”為單位設置,考生可選擇填寫一個高校代碼下的所有專業,專業調整也只在該高校代碼下的所有專業內進行。改革后,高考志愿以“高校專業組”為單位設置,一個高校代碼下設置若干個專業組,考生可選擇填寫高校專業組內的所有專業,專業調整也只在該專業組內進行。
五是錄取規則不同。改革前,普通專業分為文科、理科兩大類,有招生計劃、招生名額、單獨錄取。改革后,普通專業分為物理、歷史兩大類,有招生計劃、招生名額、單獨錄取。精簡招生批次(段),本科生第一批次和第二批次合并。國家、地方特色專業等特殊專業與普通專業、民族班、民族語種專業、預科專業、迎新專業同批次申請、同批次錄取。
3.2024年高考如何安排?
考試時間定于6月7日至6月10日。其中,漢語科目考試時長為150分鐘,數學、外語(含聽力)科目考試時長為120分鐘,外語聽力考試(30分鐘)安排在外語筆試開始前進行,選修考試科目(以下簡稱“選修科目”)時長為75分鐘。高考統一考試的三門科目和三門選修科目,考生均使用國家通用語言文字答題。報考少數民族語文教學專業的考生還須參加相應民族語文科目全省統一考試,考試時長為150分鐘。具體時間安排如下:
考試時間
早晨
下午
6 月 7 日
語言與文學(9:00-11:30)
數學(15:00-17:00)
6 月 8 日
物理/歷史
(9:00-10:15)
外語(含聽力)
(15:00-17:00)
6 月 9 日
化學(8:30-9:45)

地理(11:00-12:15)
思想政治(14:30-15:45)
生物學(17:00-18:15)
6 月 10 日
國家語言(藏語/蒙古語)
(9:00-11:30)
高考統一考試科目考試時間以教育部公布為準,如有調整,選修科目、民族語言科目考試安排相應調整。
4、為什么思政、地理、化學、生物四門選修科目的成績要評分并計入考生總成績?
2024年改革后,高考招生將分為物理、歷史兩個專業,分別制定錄取方案、分數線和檔案。選物理(歷史)專業的考生使用同一張試卷,同一組考生,成績具有可比性,故以原始成績計入考生總成績。但由于思政、地理、化學、生物選修科目試題難度不同,報考相應科目的考生群體不同,導致選修科目原始成績不具有可比性。例如:小明和小華的第一志愿科目都是物理,小明的第二志愿科目是化學和生物,小華的第二志愿科目是化學和地理。 假如小明的生物成績是90分,小華的地理成績是85分,那么不能簡單的說小明的成績比小華好,因為這兩門科目不同,考試題目的難度可能不一樣,考生人數也可能不一樣。如果簡單地把他們各科成績相加,計入考生總成績中進行比較,既不科學,也不公平。為了解決這個問題,就需要進行等級分配,即需要將不同科目的原始成績按照一定的規則進行換算,得到等級分數(換算后,考生選修科目成績的排序與原始成績的排序不變),以解決重選科目原始成績不可比的問題,最大程度地保證高考的科學性和公正性。
5. 評分規則是什么?
(1)評分方法
各選修科目原始成績滿分為100分,折算時以30分作為成績折算起點,總分為100分。將考生各選修科目原始成績從高到低分為A、B、C、D、E五個等級,各等級人數占比分別約為15%、35%、35%、13%、2%。折算時,將A至E等級考生原始成績按比例折算規則折算為100-86分、85-71分、70-56分、55-41分、40-30分五個等級分數范圍。按折算公式計算,四舍五入取整,即為考生成績。高考總成績中各選修科目成績的等級比例及分數范圍如下:
年級
部分
大約15%
約35%
約35%
約13%
約2%
得分間隔
100-86

85-71
70-56
55-41
40-30
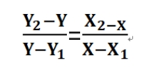
(二)績點換算公式及計算舉例

Y1、Y2分別表示某一等級原始分數范圍的下限和上限;X1、X2分別表示相應等級劃分范圍的下限和上限;Y表示考生原始分數,X表示考生折算后的等級分數。當考生原始分數恰好為原始分數范圍的上限或下限時,無需按照折算公式計算,相應劃分范圍的上限或下限分數即為考生的等級分數。
例如:小王地理原始成績為85分,在當年全省該科目考試的考生中排名前2.5%。根據上表可知,該成績為A級,該級成績范圍為100-86分。根據考生原始成績分布情況,可知A級原始成績范圍(假設為99-83分),因此小王的地理成績(X)可由以下公式計算:

由上可知,X≈88(四舍五入),即小王的地理成績。
高考成績公布時,考生可查詢的選修科目成績均為評定后的成績,無需考生自行換算。
6.2024年高考招生計劃如何編制?
我省普通高校招生計劃按普通、藝術、體育、中職四個類別編制,其中普通類按物理、歷史兩大類優先學科公布,面向本科、高職(專科)層次。第一志愿為物理的考生只能填報物理學科組合內符合選擇要求的院校及專業組,第一志愿為歷史的考生只能填報歷史學科組合內符合選擇要求的院校及專業組。
藝術、體育、中職招生計劃不區分物理、歷史專業。采用統考成績的藝術專業分為美術與設計、書法、音樂(音樂表演-聲樂)、音樂(音樂教育-聲樂)、音樂(音樂表演-器樂)、音樂(音樂教育-器樂)、播音與主持、舞蹈、表演(導演)表演(戲劇影視表演)、表演(導演)表演(戲劇影視導演)、表演(導演)表演(服裝表演)11個招生類型。經批準組織校考的藝術專業和采用省際聯考成績的戲曲專業由各高校根據專業設置制定。體育專業分為田徑、足球、排球、籃球、武術體操三個招生類型。 中職學校招生類型分為農林牧漁業、醫藥衛生、工業、土木水利、信息技術、財經商貿、旅游服務、教育、文化藝術等8個類別。
一所院校的招生計劃可以設置一個或多個專業組,每個專業組可以包含不同數量的專業。同一所院校內選修科目要求相同的專業可以設置在同一專業組,也可以設置在不同的專業組,但各專業組內各專業的選修科目要求必須相同。同一所院校不同計劃類別、計劃性質、招生類型的專業計劃,須按科目要求編制在不同的專業組內。安排專業組時,原則上同一專業組內各專業的要求應當相同。
7.如何理解“高校+專業”志愿服務模式?
“學院專業組”是指某一學院內選修科目要求相同的專業組合。一所學院可以設立一個或多個學院專業組,每個學院專業組可以包含不同數量的專業。同一學院專業組內各專業選修科目要求相同,選修科目要求不同的專業必須設立單獨的學院專業組。當然,同一學院內選修科目要求相同的專業也可以劃分為不同的學院專業組。
例如,“A大專業組4”的選修科目要求為第一志愿為物理,第二志愿不限,包括通信工程等多個專業;“A大專業組5”的選修科目要求為第一志愿為物理,第二志愿為化學或生物,包括臨床醫學等多個專業。如果考生有意向報考A大通信工程和臨床醫學,則需占用兩個志愿,并分別填寫“A大專業組4”和“A大專業組5”兩個校級專業組的志愿,并在兩個校級專業組中分別填寫通信工程和臨床醫學的志愿。
8.2024年高考錄取批次如何確定?
2024年,我省普通高校普通類別設本科進階班、本科班、高職(專科)進階班、高職(專科)班四個批次,每個批次下設若干個分批次。文藝體育類(以下簡稱“文藝體育類”)設本科進階班、本科班、高職(專科)班三個批次,每個批次下設若干個分批次。
(1)一般規定

本科提前錄取(A類):包括軍隊、公安(武警)、司法、軍事飛行招生、民航飛行招生、國家公費師范生、地方免費師范生、免費醫學生、卓越教師專項項目、加強基礎項目、職教教師招生、消防招生、體育訓練及民族傳統體育招生、殘疾人招生、保送生、初中班、小學普師等招生計劃;部分經批準的特招院校招生計劃和部分院校馬克思主義理論、小語種、航海等專業的招生計劃。
本科批次(B部分):針對大學項目和高水平運動隊的招生計劃。
本科批次(C類):包含普通班、定向班、民族班、預科班、民語及同伴教育、中等職業教育、國家專項、地方專項、建檔立卡專項(原定點扶貧專項)、革命老區專項、民族專項。
高職(專科)提前錄取(D類):包含公安(武警)、農村醫療專項計劃、小學普通教師、殘疾學生單招、高職院校綜合評價錄取。
高等職業(專科)教育提前錄取(E部分):針對士官的定向招生計劃。
高等職業(技術)院校批次(F類):包含普通、民族語言、定向、落戶專項(原精準扶貧)、民族專項、中職招生招生計劃。
(2)藝術與體育
本科提前錄取(G類):經批準舉辦藝術院校招生考試或戲曲專業省際聯考的高校藝術類本科專業的招生計劃。
本科批次(H部分):所有本科文科、體育類專業采用統一考試成績的招生計劃。
高職(專)批次(第一批次):各高職(專)藝術、體育類專業采用統一考試成績的招生計劃。
9.大類為什么不再區分一級、二級?
國務院《關于深化考試招生制度改革的實施意見》明確提出“創造條件逐步取消高等學校招生批次”。《甘肅省深化高校考試招生綜合改革實施方案》也明確提出“從2024年起,本科一、二本招生批次合并”。本科批次合并體現了國家改革的總體方向,能更好地滿足高校、考生和社會發展的需要。
從高校角度,有利于更好發揮高校教育主體作用,鼓勵高校注重內涵發展,發揮自身優勢,著力培養特色專業人才,進而提升高校教育水平和核心競爭力。
從考生角度考慮,有利于進一步擴大考生選擇范圍,引導考生根據個人志向、學科興趣、性格特長等更加理性地選擇自己喜歡的學校和專業,促進考生健康成長。
從高中角度考慮,有利于高中突破對“一流錄取率”的盲目追求,促進高中更好地立足辦學條件,明確定位,打造辦學特色。
從社會角度看,有利于扭轉簡單以錄取批次評價不同類型高校的片面性,促進高校畢業生平等就業,推動高等教育公平發展。
10. 最低錄取分數線是如何確定的?
根據各類別招生計劃、考試成績及考生報到情況,分類別、分層次確定最低錄取分數線。
普通類按物理、歷史兩個優先學科設定本科、高職(專科)招生最低控制分數線。
文藝、體育類不區分物理、歷史,本科和高職(技)專層次文化課、專業課錄取最低控制分數線按招生類型設定。
本科、高職(專科)招生最低控制分數線按照中職教育8個招生類型設定。

11.特殊招生類型為什么要設置錄取分數線?
特招錄取分數線按照物理、歷史專業第一志愿本科招生計劃數的一定比例確定,主要用于強基計劃和專科計劃招生。軍隊院校和部分重點院校也可能要求最低錄取分數線不低于特招錄取分數線。
12.2024年高考每批次(部分)可以填寫多少個選項?
普通本科提前錄取(A類)和高職(專科)提前錄取(D類)采用“1+1”順序申請(1份申請第一學院,1份申請第二學院),可提交2份申請,每個學院及專業組申請有6個專業選項和1個專業調整選項,如招生計劃未完成,則只收集1份申請。
普通本科批次(Section B)和文體類本科提前錄取批次(Section G)各有一個學校及專業組申請、六個專業選項和一個專業調整選項,不收集任何申請。
普通本科批次(C批次)、高職高專批次(E批次)、高職高專批次(F批次)實行平行志愿,設置45名院校專業組志愿,每個院校專業組志愿有6個專業選擇和1個專業調整選擇,若招生計劃未完成,將實施兩次志愿征集。
藝術類本科批次(H組)和高職(專科)批次(I組)實行平行志愿,共設30名學院及專業組志愿者,每組有6個專業選擇和1個專業調整選擇。若招生計劃未完成,將實施兩次志愿征集。
13.2024年高考報名設置及填報與改革前相比有哪些區別?
首先是志愿單位的變化。改革前,以“學院”為志愿單位,一個學院為一名志愿,以“一個學院+多個專業”的形式填報志愿,專業志愿和是否接受專業調整在學院內部選擇。改革后,以“學院專業組”為志愿單位甘肅高考分數線排名(甘肅2024年高考文理科人數,一個學院專業組為一名志愿,以“學院專業組+專業(類別)”的形式填報志愿,專業志愿和是否接受專業調整在“學院專業組”內部選擇。
二是平行志愿數量變化。改革前,平行志愿報名批次(欄目)設置高校志愿9名。改革后,普通本科批次(C欄目)、高等職業(技工)批次(F欄目)設置高校專業組平行志愿45名;文體本科批次(H欄目)、高職(技工)批次(I欄目)設置高校專業組平行志愿30名。總體來看,平行志愿數量有所增加。征集志愿設置與對應批次保持一致。
三是報考要求的變化。改革前,考生按照所報考專業(理工科、文史類)填寫相應的院校申請表。改革后,由于院校選修科目要求增加,考生在填寫申請表時,須填寫院校專業組對應的選修科目要求。
14.填寫申請表時,考生選修科目與高校招生專業選擇范圍要求應如何對應?
我省2024年高等學校招生計劃編制公布,針對物理、歷史專業。招生計劃包括招生院校、院校設置的高校專業組、高校專業組涵蓋的專業、專業組選修科目要求等重要信息。考生在填寫報名表時,要先了解擬報考高校的招生計劃和選修科目要求,再填寫符合條件的高校專業組報名表。高校招生專業的選修科目要求分為四類:
第一類:對第一志愿和第二志愿科目均無要求,即“無科目要求”,即第一志愿為物理或歷史的考生均可報考,但如果該專業當年招生計劃安排在物理類,則只有第一志愿為物理的考生才可以報考;如果該專業當年招生計劃安排在歷史類,則只有第一志愿為歷史的考生才可以報考。
第二類:只對第一志愿科目有要求,如“物理(考生必須選擇一門科目才能報名參加考試)”,即第一志愿為物理,且可選擇其他任意兩門科目的考生即可報名參加考試。
第三類:只對第二選修科目有要求,如“化學(考生必須選擇一門科目才能報考)”,即只有第一志愿為物理或歷史、第二選修科目為化學的考生才可以報考。但如果該專業當年招生計劃安排在物理類甘肅高考分數線排名(甘肅2024年高考文理科人數,則只有第一志愿為物理、第二選修科目為化學的考生才可以報考;如果該專業當年招生計劃安排在歷史類,則只有第一志愿為歷史、第二選修科目為化學的考生才可以報考。
第四類:首選主題和第二選擇主題都有選擇要求,例如“物理學,化學(候選人必須在申請考試之前,必須選擇兩個主題)”,這意味著只有其首選主題是物理學的候選者,其第二選擇主題是其第二個選擇是化學的選擇,例如,候選人可以申請所有候選者;其第二個選擇主題是化學,生物學可以申請考試。
候選人可以申請的專業是基于當年普通大學和大學安排的入學計劃。
15.我可以同時申請不同類型的大學(專業)還是同時申請?
不允許參加一般類別和體育類別的候選人,只能選擇一個類別。只能填寫二級職業學校入學申請。
在宣布大學入學考試結果之后,除了強大的基金會計劃,體育培訓和傳統種族運動,殘疾學生,推薦的學生以及對更高職業學院的全面評估錄取外,候選人必須填寫所有其他學院的入學計劃的申請。
![]()
16.如何組成不同類別的候選人的入學評分?
對于一般類別,根據學術分數(包括基于政策的額外積分)進行的錄取,從高到低的藝術類別進行,根據綜合分數從學術分數轉換為專業分數,以一定的比率進行了基于學術評分的最低招募和專業評分,以供廣播范圍進行綜合分數。 Ory如下:
綜合排名分數=文化課程的總分(不包括基于政策的護理點)×50% +專業課程的總分數÷300×750×50%,最終結果被四舍五入到兩個小數點。
廣播和托管的排名計算公式如下:
綜合排名分數=文化課程的總分(不包括基于政策的護理點)×70% +專業課程的總分÷300×750×30%,最終結果將四舍五入到兩個小數位。
每種運動招聘類型的平行選擇的全面排名得分是基于運動大型課程的數十個。
對于大學的大學藝術專業的學生,??他們使用數十次藝術學校入學考試或省級招生的省級聯合考試,所有滿足分數要求的候選人都將提交,并且大學將根據“入學條例”的要求選擇最佳候選人入學。
根據教育部的相關法規,所有大學入學考試獎金項目和分數均不得用于高級運動隊,大學特殊項目和其他沒有省級和主要入學計劃的招生計劃。
17. 2024年,在該省的大學入學考試提交和入學方法是什么?
在2024年,我們省的普通大學的入學將基于統一的大學入學考試和高中學術水平的選擇性考試,并參考全面的質量評估,以便全面使用質量評估。志愿者將根據“優先級,遵循志愿者”的原則來提交平行志愿者的批處理(部分);
18.如何為大學和主要團體提交并行選擇?
大學和主要團體的自愿申請基于大學和主要團體作為基本申請單位,并且根據“愿望,一輪申請”的規則進行了三個步驟,根據“得分優先,遵循得分優先”規則進行。
首先,每個類別的候選人根據他們的分數從高到低的分數中排名。
其次,系統將在每個隊列中的候選人順序瀏覽不同的候選人的愿望。 Xiao Hua。
第三,當涉及特定候選人的愿望時,該系統將按學院的順序瀏覽候選人,并在系統提交文件時填寫。完整,如果有計劃,請檢查您的第二個大學空缺。
19.在并行應用程序中對具有相同分數的候選人排序的規則是什么?
(1)在實施一般類別的自愿注冊之前,根據大學入學考試的總成績(包括基于政策的優先分數),從高到低的人數確定了候選人的總成績(包括基于政策的優先分數) “ 3+1+2”考試的總得分(不包括基于政策的優惠得分)仍然相同,候選人將按照中國和數學主題的總和的順序進行排名和招募比較,較早的訂單將首先注冊。 如果偏好順序是相同的,則所有候選人將被注冊。
(2)在為藝術和體育候選人實施平行的志愿者入學之前,如果他們的排名相同,他們將根據其全面的排名,從而將學術分數(不包括基于政策的護理獎勵積分)排名第一,然后將其排名較高,從而將其排名較低。
20.如何進行少數族裔語言教學課程的入學考試和錄取?
少數族裔教學專業的考試要求應按照“甘努省高等教育簽發委員會的通知”(Ganzhaoweifa [2023]第11號)實施。
(1)從2024年開始,申請在少數民族語言中教授的高等教育機構的計劃必須進行“ 3+1+2”的考試,同時,他們必須在同一學科的學科中進行統一的學科,并在統一的學科中進行統一的學科,并在統一的學科中進行統一的學科,并進行統一的學業。
(2)將根據候選人的種族語言分數設置單獨的最低控制分數,根據候選人的“ 3+1+2”統一的大學入學考試的總分,最低限度的入學控制得分將設置。得分優先并遵循愿望“并向相關的學院提供種族語言學科考試成績。招生機構將根據提前宣布的入學條例的要求進行入學,并參考普通高中生的全面質量評估。
名師輔導
環球網校
建工網校
會計網校
新東方
醫學教育
中小學學歷